515 Chicago Street — Schuyler, Nebraska


SALE PENDING! | Asking Price $59,000 | Schuyler


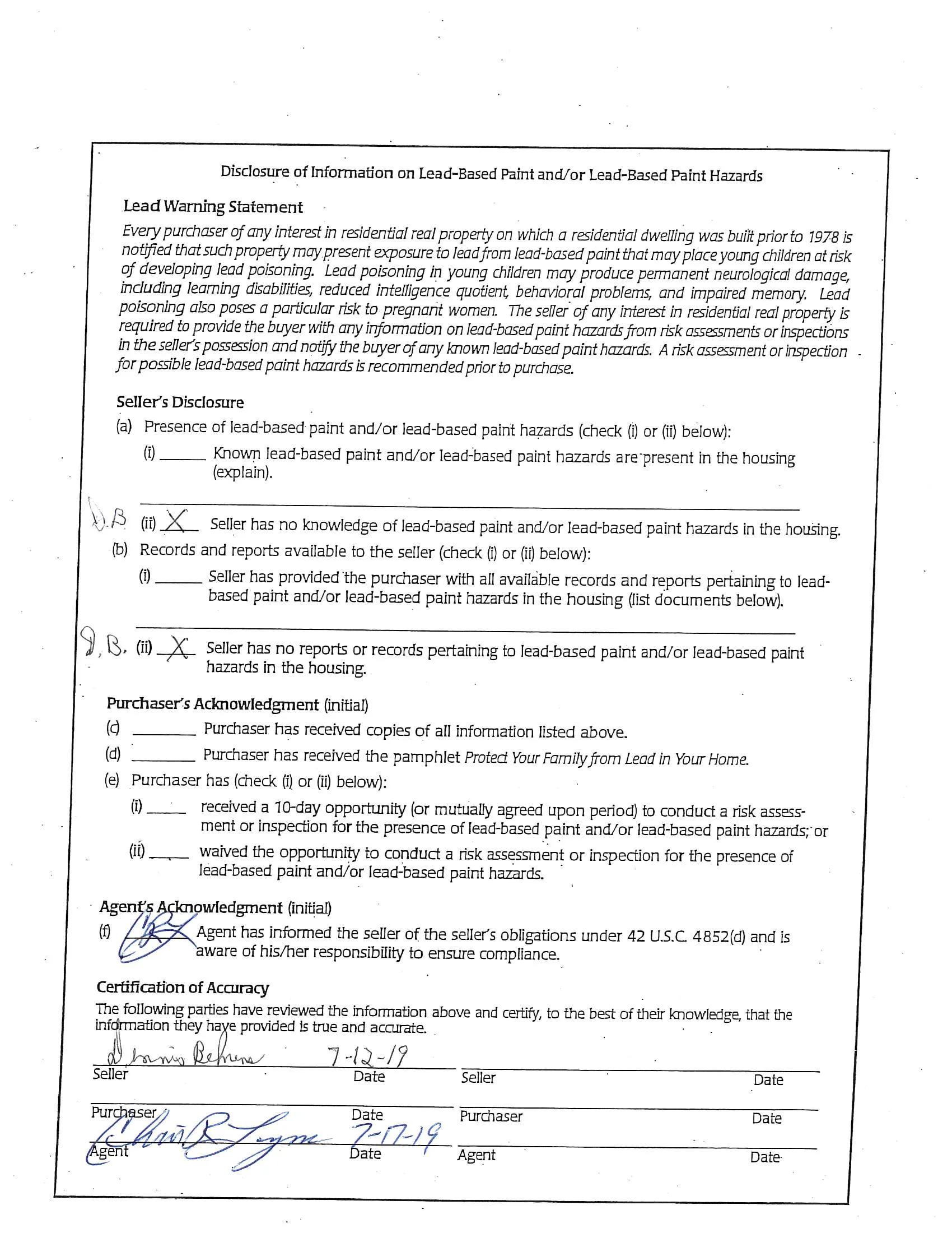
Maps & Documents

Description:

This bungalow two-bedroom home with a partial basement is a handy man special.  The lot features a two-car detached garage.

Features:

  • Two Bedrooms

  • Basement

  • Two Car Garage

  • Large Lot

  • Is in the flood plain

Taxes: $ 777.42

Gallery:

soldSage Merritt